電阻
圖1 電阻等效電路
電阻的等效阻抗
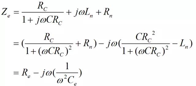
同一個電阻元件在通以直流和交流電時測得的電阻值是不相同的。在高頻交流下,須考慮電阻元件的引線電感L0和分布電容C0的影響,其等效電路如圖1所示,圖中R為理想電阻。由圖可知此元件在頻率f下的等效阻抗為
式 1
上式中ω=2πf, Re和Xe分別為等效電阻分量和電抗分量,且
式 2
從上式可知Re除與f有關外,還與L0、C0有關。這表明當L0、C0不可忽略時,在交流下測此電阻元件的電阻值,得到的將是Re而非R值
電感
電感等效電路
圖2 電感等效電路
電感的等效阻抗
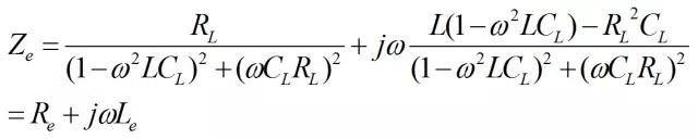
電感元件除電感L外,也總是有損耗電阻RL和分布電容CL。一般情況下RL和CL的影響很小。電感元件接于直流并達到穩態時,可視為電阻;若接于低頻交流電路則可視為理想電感L和損耗電阻RL的串聯;在高頻時其等效電路如圖2所示。比較圖1和圖 2可知二者實際上是相同的,電感元件的高頻等效阻抗可參照式 1來確定
式 3
式中 Re和Le分別為電感元件的等效電阻和等效電感。
從上式知當CL甚小時或RL、CL和ω都不大時,Le才會等于L或接近等于L。
電容
電容等效電路
圖3 電容等效電路
電容的等效阻抗
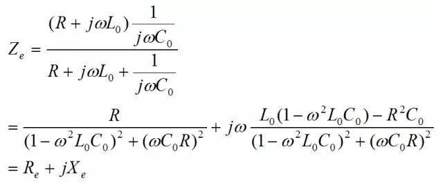
在交流下電容元件總有一定介質損耗,此外其引線也有一定電阻Rn和分布電感Ln,因此電容元件等效電路如圖 3所示。圖中C是元件的固有電容,Rc是介質損耗的等效電阻。等效阻抗為
式 4
式中 Re和Ce分別為電容元件的等效電阻和等效電容, 由于一般介質損耗甚小可忽略(即Rc→∞),Ce可表示為
式 5
從上述討論中可以看出,在交流下測量R、L、C,實際所測的都是等效值Re、Le、Ce;由于電阻、電容和電感的實際阻抗隨環境以及工作頻率的變化而變,因此,在阻抗測量中應盡量按實際工作條件(尤其是工作頻率)進行,否則,測得的結果將會有很大的誤差,甚至是錯誤的結果。
二極管
功率二極管的正向導通等效電路
(1):等效電路
(2):說明:
二極管正向導通時可用一電壓降等效,該電壓與溫度和所流過的電流有關,溫度升高,該電壓變小;電流增加,該電壓增加。詳細的關系曲線可從制造商的手冊中獲得。
功率二極管的反向截止等效電路
(1):等效電路
(2):說明:
二極管反向截止時可用一電容等效,其容量與所加的反向電壓、環境溫度等有關,大小可從制造商的手冊中獲得。
功率二極管的穩態特性總結
(1):功率二極管穩態時的電流/電壓曲線
(2):說明:
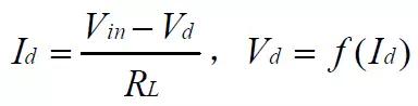
二極管正向導通時的穩態工作點:
當Vin >>Vd 時,有:
而Vd對于不同的二極管,其范圍為 0.35V~2V。
二極管反向截止時的穩態工作點: Id≈0,Vd = -Vin
(3):穩態特性總結:
-- 是一單向導電器件(無正向阻斷能力);
-- 為不可控器件,由其兩斷電壓的極性控制通斷,無其它外部控制;
-- 普通二極管的功率容量很大,但頻率很低;
-- 開關二極管有三種,其穩態特性和開關特性不同:
-- 快恢復二極管;
-- 超快恢復,軟恢復二極管;
-- 蕭特基二極管(反向阻斷電壓降<<200V,無反向恢復問題);
-- 器件的正向電流額定是用它的平均值來標稱的;只要實際的電流平均值沒有超過其額定值,保證散熱沒問題,則器件就是安全的;
-- 器件的通態電壓呈負溫度系數,故不能直接并聯使用;
-- 目前的 SiC 功率二極管器件,其反向恢復特性非常好。
MOS管
功率MOSFET的正向導通等效電路
(1):等效電路
(2):說明:
功率 MOSFET 正向導通時可用一電阻等效,該電阻與溫度有關,溫度升高,該電阻變大;它還與門極驅動電壓的大小有關,驅動電壓升高,該電阻變小。詳細的關系曲線可從制造商的手冊中獲得。
功率MOSFET的反向導通等效電路(1)
(1):等效電路(門極不加控制)
(2):說明:
即內部二極管的等效電路,可用一電壓降等效,此二極管為MOSFET 的體二極管,多數情況下,因其特性很差,要避免使用。
功率MOSFET的反向導通等效電路(2)
(1):等效電路(門極加控制)
(2):說明:
功率 MOSFET 在門級控制下的反向導通,也可用一電阻等效,該電阻與溫度有關,溫度升高,該電阻變大;它還與門極驅動電壓的大小有關,驅動電壓升高,該電阻變小。詳細的關系曲線可從制造商的手冊中獲得。此工作狀態稱為MOSFET 的同步整流工作,是低壓大電流輸出開關電源中非常重要的一種工作狀態。
功率MOSFET的正向截止等效電路
(1):等效電路
(2):說明:
功率 MOSFET 正向截止時可用一電容等效,其容量與所加的正向電壓、環境溫度等有關,大小可從制造商的手冊中獲得。
功率MOSFET的穩態特性總結
(1):功率MOSFET 穩態時的電流/電壓曲線
(2):說明:
功率 MOSFET 正向飽和導通時的穩態工作點:
當門極不加控制時,其反向導通的穩態工作點同二極管。
(3):穩態特性總結:
-- 門極與源極間的電壓Vgs 控制器件的導通狀態;當Vgs<Vth時,器件處于斷開狀態,Vth一般為 3V;當Vgs>Vth時,器件處于導通狀態;器件的通態電阻與Vgs有關,Vgs大,通態電阻小;多數器件的Vgs為 12V-15V ,額定值為+-30V;
-- 器件的漏極電流額定是用它的有效值或平均值來標稱的;只要實際的漏極電流有效值沒有超過其額定值,保證散熱沒問題,則器件就是安全的;
-- 器件的通態電阻呈正溫度系數,故原理上很容易并聯擴容,但實際并聯時,還要考慮驅動的對稱性和動態均流問題;
-- 目前的 Logic-Level的功率 MOSFET,其Vgs只要 5V,便可保證漏源通態電阻很小;
-- 器件的同步整流工作狀態已變得愈來愈廣泛,原因是它的通態電阻非常小(目前最小的為2-4 毫歐),在低壓大電流輸出的DC/DC 中已是最關鍵的器件;
包含寄生參數的功率MOSFET等效電路
(1):等效電路
(2):說明:
實際的功率MOSFET 可用三個結電容,三個溝道電阻,和一個內部二極管及一個理想MOSFET 來等效。三個結電容均與結電壓的大小有關,而門極的溝道電阻一般很小,漏極和源極的兩個溝道電阻之和即為MOSFET 飽和時的通態電阻。


返回頂部
刷新頁面
下到頁底