電路的基本物理量分為:
1、電流
交流用i表示,直流用I表示。單位為安培(A)。
2、電位及電壓
(1)電位的概念及計算
電位是相對的物理量,因此不確定參考點,就無法確定電位,也沒有意義。規定參考點的電位為零。
在電路中,參考點用⊥表示,A點的電位則表示為VA。

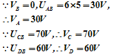
【例】如圖所示電路,以B點為參考點,求各點的電位;再以A點為參考點,求各點的電位。

解:
(1)

(2)

(2)電壓
用符號u或U表示。電路中A、B兩點間的電壓,表示為:UAB=VA-VB其單位是(V)伏。
3、電動勢
交流用e表示,直流用E表示。單位是(V)伏。
4、功率
瞬時功率用p表示,平均功率用P表示。單位為瓦特(W),常用的單位還有千瓦(kW)。
p=ui P=UI


返回頂部
刷新頁面
下到頁底