

該回路的諧振頻率為
f0=
并聯諧振回路的特點是,諧振時回路阻抗最大且為純電阻,即Z0=R0=
即Z0=Qω0L=Q ∕ω0C。
式中 Q=
一般Q遠大于1。
當電流一定時,電感或電容兩端的電壓最大,若偏離諧振頻率,回路阻抗及電壓將明顯減小。
1.回路電壓的幅頻特性
在諧振頻率附近,ωL>>R,f+f0≈2f,式GS1007可整理成
Z=

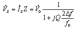
回路電壓

電壓幅頻特性:

其表達式和特性曲線與串聯回路相同。
2.回路通頻帶和選擇性
由GS1008式可求出并聯回路的通頻帶
B=2Δf=
Q愈大,通頻帶愈窄;Q愈小,通頻帶愈寬。
與串聯回路選擇性分析一致,并聯回路諧振曲線的矩形系數Kr=9.96,即選擇性也較差,但這種電路結構簡單,調試方便,常用于接收機的中頻放大電路之中。


返回頂部
刷新頁面
下到頁底