無線傳輸的一個基本概念是全向天線----在所有方向等發射的天線,在實際應用中,全向天線是不存在的,所有天線都有一定的方向性。但全向天線仍可作為與其他天線進行比較的參照物,說明天線的相關基礎概念。 考慮一個全向輻射源,它在所有方向的發射功率均為PT(W),每單位面積的功率或功率通量密度為 |
 |
即信源每單位時間輻射能量一定分布在包圍信源的球面上 接收功率Pr為 |
 |
式中,Pt為發射功率,以球面波輻射,λ為工作波長, Gt,Gr分別表示發射天線和接收天線增益,d為發射天線和接收天線間的距離。 1、自由空間的傳播損耗L定義為 當Gt=Gr=1時,自由空間的傳播損耗L為 |
 |
| 分貝式 |
 |
上式表明d倍程或f倍頻變化,損耗有6dB變化; 2、傳播損耗與接收功率關系 在移動通信系統中,接收電平的動態范圍很大,常用dBW或dBm為單位表示接收電平。 Pr(dBm)=10lgPr(mW);Pr(dBW)=10lgPr(W);0 dBW=30 dBm 例1:2W 換算dBW、dBm為多少? 3 dBW=33dBm |
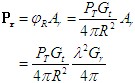
 |
其中Pr、PT為接收、發射功率,L為傳播損耗,Gb、 Gm為BS、MS天線增益。 上式是基本鏈路預算方程,說明了考慮無線鏈路傳輸特性時接收功率與發射功率之間的關系。閉合鏈路要求上式右邊為接收機提供足夠的功率,以便可靠檢測發射機所發射的信息,即右邊必須大于接收機靈敏度。 例題2:若發射機發射功率20W, f=900MHz,Gt=1, Gr=1,求自由空間100m處接收功率為多少dBm?10km處接收功率為多少dBm? 解: |
| |