匹配濾波器具有特別重要的意義。例如在二進制數字傳輸中,我們關心的是能夠從噪聲中正確地判斷兩種可能信號中出現哪一種,判斷時刻的信噪比愈高,愈有益于作出正確的判決。
一、匹配濾波器原理
設匹配濾波器的傳輸函數為

輸出噪聲



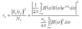
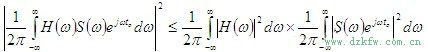
由此我們得出結論:在白噪聲干擾的背景下,按
求式

作為數字信號的接收濾波器,匹配濾波器應該是物理可實現的。對于線性系統,物理可實現的條件是:當
為了滿足物理可實現條件要求:
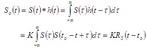
匹配濾波器的輸出信號波形

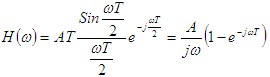
例1 設匹配濾波器的輸入信號是一單個脈沖,如圖2(a)所示,試求匹配濾波器的特性和輸出信號波形。





二、二進制確知信號的匹配濾波接收
二進制數字信號中的兩個不同波形
匹配濾波器構成的接收機方框圖如圖4所示。圖中,有兩個匹配濾波器,



返回頂部
刷新頁面
下到頁底