微變等效電路法僅用于對放大電路進行動態分析,不能計算直流靜態工作點。
微變等效電路的實質是將由非線性元件三極管組成的交流放大電路等效成一個線性元件進行分析。
1.輸入回路的微變等效電路
從晶體管的輸入特性曲線可見,共射極接法的晶體管的輸入回路可用管子的輸入電阻 來等效代替。其輸入回路的等效電路如圖(b)左半部所示。
工作中rbe用下式估算:
![]()
IE是發射極靜態電流,單位為mA。
從晶體管的輸出特性曲線可見。晶體管輸出回路可以等效為一個受控的恒流源,如圖(b)右半部分所示。

一、放大電路的微變等效電路
畫放大電路的微變等效電路的步驟是:
(1)畫出晶體管的微變等效電路,標定基極B、集電極C、發射極E和公共地的位置。
(2)將直流電源UCC及所有的電容短路(將放大電路轉換成交流通路),再將其它元件對號入座。
二、放大器的性能分析
畫出微變等效電路以后,就可以用求解線性電路的方法計算放大器的主要性能指標,包括電壓放大倍數
、輸入電阻ri和 輸出電阻ro 。
1.電壓放大倍數 ![]()

當放大電路的輸出端開路時,
![]()
2.輸入電阻 ri
放大電路對信號源來說是一個負載,可以用一個電阻等效代替,這個電阻既是信號源的負載,又是放大電路的輸入電阻。輸入電阻定義為放大電路的輸入電壓與輸入電流之比值,即

通常要求放大器的輸入電阻高一些, ri愈大,放大電路從信號源吸取的電流愈小,減輕信號源的負擔。
3.放大電路的輸出電阻ro
對負載(或后一級放大電路)來說,放大電路相當于一個具有內阻ro 和Uo'恒壓源的信號源,這個等效電源的內阻ro 就是放大電路的輸出電阻。
ro越小,負載變化時,輸出電壓的變化也越小,說明放大電路帶負載能力越強。
放大電路的輸出電阻ro ,定義為

【例1】 在圖(a)所示電路中,若晶體管為3DG100,已知在工作點處β=40 ,設UBE =0.7V。
(1)計算靜態工作點;
(2)求rbe ;
(3)計算電壓放大倍數
;
(4)若 CE 開路,再計算電壓放大倍數
;
(5) CE未斷開時,求放大電路的輸入電阻 ri、輸出電阻 rO。/

解:(1)確定靜態工作點。

(2)求 rbe 。

(3)求
。
畫出微變等效電路如圖(b)。
![]()
(4)當CE開路時,微變等效電路如圖(c)。

可見,在CE 開路時,電路的放大能力大大減小,因而在分壓式靜態工作點穩定電路中,通常需加旁路電容CE。
(5)由上圖的圖(b)微變等效電路得

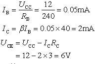
【例2】共發射極基本放大電路如圖所示,已知UCC=12V ,RC =3KΩ,RL=3KΩ,RA=24KΩ晶體管的β=40 。
(1)估算靜態值Ia 、Ic 和uce ;
(2)求出 A U、ri 、r0 。

解:(1)確定靜態工作點

(2)放大倍數
![]()



返回頂部
刷新頁面
下到頁底