晶體or晶振,還是傻傻分不清楚?
晶體是晶體諧振器(Crystal)的簡稱,也稱為無源晶體。一般是利用石英晶體的壓電效應,用來產生高精度振蕩頻率的一種電子元件。無源晶體需要依靠電容電阻才能進行起振。
晶振是晶體振蕩器(Oscillator)的簡稱,也稱為有源晶振。有源晶振內部集成了起振電路,無需外部添加其他元器件即可正常工作,但其需要外部電源供電。
在封裝上晶體通常為兩腳和四腳,晶振通常為四腳或四腳以上。可以肯定的是,兩腳的一定是晶體。 對于四腳的晶體和晶振,需要觀察其外圍電路是否有其他器件連接,如若無則為有源晶振。或者查看高度,一般晶振的厚度比晶體要高。
常見晶體晶振實物如下圖所示:
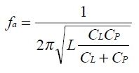
R是ESR串聯等效阻抗,L和C分別是等效電感和電容,Cp為寄生電容。
當晶振在串聯諧振狀態下工作時,線路表現為純阻性,感抗等于容抗(XL=XC),串聯諧振頻率為:
當晶振在并聯諧振狀態下工作時,線路表現為純感性。在這種模式下,工作頻率由晶振的負載決定。對于并聯諧振狀態的晶振,晶振制造商應該指定負載電容CL。在這種模式下,諧振頻率:
在并聯諧振模式下,電抗線中fs到fa的斜線區域內,通過調整晶振的負載,晶振都可以振蕩起來。
晶振電路
晶振振蕩電路圖如下圖所示。這樣的組成可以使晶振處于并聯諧振模式。反相器提供了180°的相移,晶振、R1、C1、C2組成的π型網絡產生另外180°的相移。所以整個環路的相移為360°。這滿足了保持振蕩的一個條件。另外一個條件是要求閉環增益應≥1,才能正確起振和保持振蕩。
電阻Rf產生負反饋,它將反相器設定在中間補償區附近,使反相器工作在高增益線性區域。電阻值很高,范圍通常在500KΩ ~2MΩ內。圖示的C1,C2就是為晶振工作在并聯諧振狀態下得到負載電容CL的電容。關于最優的負載電容CL的計算公式為:
其中Cs為PCB中晶振引腳寄生電容,典型值為2-5pF。通常C1,C2值取值相等。R1是驅動限流電阻,主要功能是限制反相器輸出,這樣晶振不會被過驅動(over driven)。R1、C1組構成分壓電路,這些元器件的數值是以這樣的方式進行計算的:反相器的輸出接近rail-to-rail值,輸入到晶振的信號是rail-to-rail的60%,通常實際是令R1的電阻值和的C1容抗值相等,即R1 ≈ XC1。這使晶振只取得反相器輸出信號的一半。要一直保證晶振消耗的功率在廠商說明書規定范圍內,過驅動會損壞晶振。
一般情況下,增大負載電容會使振蕩頻率下降,而減小負載電容會使振蕩頻率升高。 參考下圖:
一些芯片內置了這些外部器件(Rf,R1,C1,C2),因此消除了電路設計師的煩惱。這種情況下,只要把晶振連接在XTAL引腳上即可。


返回頂部
刷新頁面
下到頁底