- 零狀態電路對于單位階躍輸入信號的響應,稱為階躍響應,并用 s(t) 表示。
1、RC電路的階躍響應

- 圖示電路,在 t=0 時開關打向電壓源,C 上的電壓可表示為:

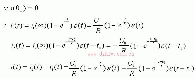
2、RL 電路對矩形電壓脈沖響應

- 如圖示,激勵源可表示為兩個階躍函數的線性疊加,求 i ( t ) 。
用兩種方法求解如下:
① 設 i (t) 也可表示為兩個激勵分別作用時響應 i1(t) 和 i2(t) 的疊加,則:

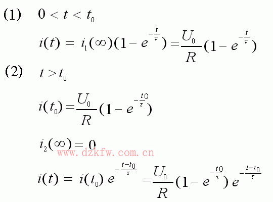
- ② 分時間段求解,如下:





用兩種方法求解如下:
① 設 i (t) 也可表示為兩個激勵分別作用時響應 i1(t) 和 i2(t) 的疊加,則:


