將圖1(a)所示的一階有源低通濾波器中的電阻R和電容C對調,即可成為一階有源高通濾波器,如圖1(a)所示。
![]() |
![]() |
| 圖1(a) 電路圖 | 圖1(b) 頻幅特性 |
由RC電路可知
![]() |
(1) |
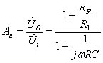
根據同相比例運算電路的運算關系,有
=(1+
)
,故濾波器的電壓傳遞函數為
![]() |
(2) |
令
,即
,上式可變為
![]() |
(3) |
當f=0時,
。
當f=∞時,
,其中
為電路的通帶放大系數。
當f=f0時,
。其幅頻特性如圖1(b)所示。
除了上面介紹的低通濾波電路和高通濾波電路之外,若將一個低通濾波電路與一個高通濾波電路串聯,即可組成帶通濾波電路,條件是低通的
應大于高通的
。若將一個低通濾波電路與一個高通濾波電路并聯,即可組成帶阻濾波電路,條件是低通的
應小于高通的
。







返回頂部
刷新頁面
下到頁底