1.星形聯結(Y接)
相電流:各相電壓源中的電流。

星形聯結(Y接)的(電源或負載):線電流等于相電流。
2.Δ接對稱負載線電流和相電流的關系

三相電源對稱,線電壓(即負載相電壓)對稱。
若三相負載對稱,則負載相電流也對稱。

相電流對稱,線電流也對稱。

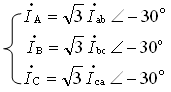
結論:對△接法的對稱三相電源(負載):
(1)相電流對稱,則線電流也對稱。
(2)線電流大小等于相電流的倍
倍,
。
(3)線電流相位滯后對應相電流(用相電流的第一個下標字母標出)30o。

1.星形聯結(Y接)
相電流:各相電壓源中的電流。


若三相負載對稱,則負載相電流也對稱。

相電流對稱,線電流也對稱。

結論:對△接法的對稱三相電源(負載):
(1)相電流對稱,則線電流也對稱。
(2)線電流大小等于相電流的倍
倍,
。
(3)線電流相位滯后對應相電流(用相電流的第一個下標字母標出)30o。
